Novità
L’efficacia dei vaccini in RSA
- da Super User
-
in Blog
-
Visite: 562
A dicembre sono stati pubblicati i risultati di due studi: uno americano che vede coinvolte 12.364 Nursing Home e l’altro italiano che vede coinvolte 77 RSA appartenenti a 10 regioni differenti.
The GeroCovid VAX study (ITA) - Nursing Home Staff Vaccination and Covid-19 Outcomes (USA)
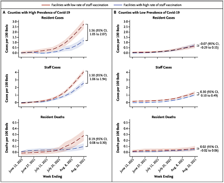
Lo studio americano ha classificato le strutture in base alla prevalenza comunitaria di Covid-19 (countries A and B) e alla copertura vaccinale del personale (linea rossa e blu nella figura sotto) nel periodo giugno-agosto 2021.
In presenza di un'elevata prevalenza comunitaria di Covid-19, le NH con bassa copertura vaccinale del personale hanno avuto un numero maggiore di casi e di decessi rispetto a quelle con elevata copertura vaccinale del personale.
Questi risultati, evidenziati nella figura, mostrano quanto sia efficace e importante la vaccinazione del personale per proteggere i residenti delle NH, in particolare nelle comunità con un'elevata trasmissione di Covid-19.

Lo studio italiano, GeroCovid Vax , si è concentrato sull’efficacia e sugli eventi avversi del vaccino in un’ampia popolazione di anziani (circa 3200 residenti in RSA). Dai risultati preliminari, esposti durante il recente congresso della Società Italiana di Gerontologia e Geriatria (Sigg), emerge che l’incidenza di nuovi casi Covid fra i vaccinati è di appena il 3% e una risposta anticorpale elevata soprattutto nei più anziani e nelle donne.
Dopo ciascuna delle due dosi di vaccino (nel 93% dei casi Pfizer), ogni anziano è stato rivalutato per eventi avversi e condizioni cliniche dopo 7 giorni e poi a distanza di 2 e 6 mesi. I dati a 2 mesi dalla doppia dose di anti-Covid, hanno dimostrato che la vaccinazione è sicura ed efficace. Gli eventi avversi sono stati lievi, per esempio dolore o arrossamento nel sito di inoculo, dopo entrambe le dosi e hanno riguardato dal 3 al 10% degli anziani.
Non sono stati documentati effetti collaterali gravi e tra quelli a lungo termine, come stanchezza e perdita di appetito, hanno riguardato non oltre l’1,6% degli anziani.
Riteniamo che questi risultati non debbano essere considerati scontati solo perché il buon senso di ciascuno di noi ci porterebbe già a tali conclusioni. Il valore aggiunto di questi studi è proprio quello di oggettivare e quindi misurare garantendo evidenze scientifiche. Solo così la comunità scientifica può dimostrare e far capire ai professionisti, che lavorano e gestiscono le RSA, l’efficacia e la sicurezza dei vaccini.
Di quanto si allargherebbe la forbice se tutte le RSA sperimentassero una bassa copertura vaccinale durante un’ennesima ondata di Covid? Lo studio americano ci dice che sperimenteremmo il 29% di casi positivi in più tra gli anziani e il 48% di decessi in più, oltre al 29% di casi positivi in più tra il personale che lavora in struttura.